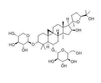
黃芪甲苷
黃芪甲苷是豆科草本植物黃芪的主要活性成分,具有抗炎作用。服用黃芪或其制品后,黃芪甲苷在人體內發揮作用。黃芪味甘,性溫,歸脾、肺經。它具有補氣升陽、固表止汗、利水消腫、生津養血、行滯通痹、托毒排膿、斂瘡生肌等功效。
介紹
中文名稱:黃芪甲苷
英文名稱:Astragaloside IV
別名:黃芪甲甙;黃芪皂苷IV;黃芪皂苷XIV;黃芪甙;黃芪甲苷;黃芪提取物(黃芪甲苷);黃芪甲苷IV;黃芪皂甙,黃芪皂苷IV
CAS:84687-43-4
純度:HPLC≥98%
分子式:C41H68O14
EC NO:84687-43-4
分子量:784.97
藥理作用
1、增強機體免疫力、提高機體的抗病能力。可特異性和非特異性的排除侵入機體的異物,對特異、免疫和非特異性免疫均有促進作用,提高機體的抗病能力。
2、抗病毒作用。刺激巨噬細胞和T細胞的功能,使E環形成細胞數增加,誘生細胞因子,促進白細胞介素誘生,而使動物機體產生內源性干擾素,從而達到抗病毒的目的。
3、抗應激功效。黃芪甲苷可阻止應激反應警戒期的腎上腺增生和胸腺萎縮,阻止應激反應抵抗期和衰竭期出現的異常變化從而起到抗應激作用,特別對營養物質代謝過程中酶的雙向調節效果顯著,在一定程度上減輕和消除了熱應激對機體生理機能的影響。
4、作為促生長劑。能增強細胞生理代謝作用,促進血液循環,增強動物機體的代謝,起到營養保健作用。研究表明,可以促進雙歧桿菌和乳酸菌的生長,具有益生素的作用。
5、黃芪甲苷可改善心肺功能。加強心臟 收縮力,保護心肌,抗心力衰竭。還具有保護肝 臟、抗炎、鎮痛等作用。可作為各種病毒 性及細菌性疾病的輔助治療藥。
2、抗病毒作用。刺激巨噬細胞和T細胞的功能,使E環形成細胞數增加,誘生細胞因子,促進白細胞介素誘生,而使動物機體產生內源性干擾素,從而達到抗病毒的目的。
3、抗應激功效。黃芪甲苷可阻止應激反應警戒期的腎上腺增生和胸腺萎縮,阻止應激反應抵抗期和衰竭期出現的異常變化從而起到抗應激作用,特別對營養物質代謝過程中酶的雙向調節效果顯著,在一定程度上減輕和消除了熱應激對機體生理機能的影響。
4、作為促生長劑。能增強細胞生理代謝作用,促進血液循環,增強動物機體的代謝,起到營養保健作用。研究表明,可以促進雙歧桿菌和乳酸菌的生長,具有益生素的作用。
5、黃芪甲苷可改善心肺功能。加強心臟 收縮力,保護心肌,抗心力衰竭。還具有保護肝 臟、抗炎、鎮痛等作用。可作為各種病毒 性及細菌性疾病的輔助治療藥。
化學性質
密度:1.4±0.1 g/cm3
沸點:905.4±65.0 °C at 760 mmHg
分子式:C43H70O15
分子量:827.007
閃點:264.0±27.8 °C
精確質量:826.471497
PSA:234.29000
LogP:1.34
蒸汽壓:0.0±0.6 mmHg at 25°C
折射率:1.608
儲存條件:-20°C
沸點:905.4±65.0 °C at 760 mmHg
分子式:C43H70O15
分子量:827.007
閃點:264.0±27.8 °C
精確質量:826.471497
PSA:234.29000
LogP:1.34
蒸汽壓:0.0±0.6 mmHg at 25°C
折射率:1.608
儲存條件:-20°C
黃芪甲苷相關產品
黃芪甲苷
- 產品規格:
- 20mg 100mg 500mg 1g 1kg
- 產品數量:
- 1000
- 經營模式:
- 生產型, 服務型
- 執照認證:
- 未認證
- 最近更新:
- 2025/1/8 10:57:24
- 經營品牌:
- 道斯夫
中文名稱: 黃芪甲苷 中文同義詞: 黃芪甲甙;黃芪皂苷iv;黃芪皂苷xiv;黃芪甙;黃芪甲苷;黃芪提取物(黃芪甲苷);黃芪甲苷iv;黃芪皂甙,黃芪皂苷iv 英文名稱: astragalosideiv¥100元/瓶所在地:江蘇南京
南京道斯夫生物科技有限公司
四面美甲指甲拋光塊亮甲海綿 美甲修甲拋光棉豆腐塊工具
- 產品規格:
- 90*28*35mm
- 產品數量:
- 1000000
- 經營模式:
- 生產型
- 執照認證:
- 未認證
- 最近更新:
- 2019/7/18 14:36:15
- 經營品牌:
- 木之美
產品介紹:1、指甲 拋光塊,比市場上各種指甲 搓都來的細膩柔軟,因此完全不傷甲 哦,美眉可以放心使用哈~ 2、指甲 拋小巧方便,適合家用,更便于攜帶;等車,等人無聊時就可¥0.65元/個所在地:廣東東莞
東莞市木之美實業有限公司
黃芪膠生產廠家 黃芪膠價格 含量及作用
- 產品規格:
- 1*25
- 產品數量:
- 8000000
- 經營模式:
- 生產型, 貿易型
- 執照認證:
- 未認證
- 最近更新:
- 2020/9/7 14:42:27
- 經營品牌:
- 誠旺
黃芪膠 型號:食品級、【敏感詞】國人都懂的藥級、工業級、飼料級 包裝:25公斤紙板桶(內襯聚乙烯袋) 含量:99.9% p¥36/公斤元/桶裝/袋裝所在地:河南鄭州
鄭州誠旺化工食品有限公司
為您推薦


湘公網安備 43052302000106號