螯合劑
配體中有兩個或兩個以上配位原子,且同時與一個中心原子(或離子)形成螯合環。由于螯合劑的成環作用使螯合物比組成和結構相近的非螯合配位化合物的穩定性高。
螯合劑大多數是有機配體。目前已發現的螯合劑最多的達十四齒。螯合劑中的配位原子以氧和氮為最常見,其次是硫,還有磷、砷等。
用"螯"描述這類化合物,就是因為分子結構很像"蟹"的兩個大"鉗"夾住金屬原子或離子。
在配合物中中心離子與配位體通過配位鍵結合。配位鍵是一種特殊的共價鍵,通常的共價鍵是由兩個成鍵原子各出一個電子形成共同電子對的,而在配位鍵中是由一個原子提供電子對,另一原子提供空軌道形成的。為了區別把共價鍵用"一"表示,如H·+·H=H:H(H-H),配位鍵用"←"表示,箭頭指向提供空軌道的原子,如Cu+NH3=CuNH3(Cu←NH3)。
如果配位體中只有一個配位原子,則中心離子與配位體之間只能形成一個配位鍵。而有些配位體分子中含有兩個以上的配位原子而且這兩個原子間相隔著兩至三個其他非配位原子時,這個配體就可以與中心離子(或原子)同時形成兩個以上的配位鍵。直接與中心離子配位的原子數目叫做配位數,通常配位數多為4或6,也有2和8的。配位數的多少取決于中心粒子的電子結構與空間因素。
最常見的配位原子有氧、硫、氮。磷、砷、硒也可生成螯合物。在螯合劑分子中,配位原子是通過其他原子(主要是碳原子)連接成適宜的結構。根據螯合劑分子中所含可以參加配位的配位原子數目,分為二嚙、三嚙、四嚙、六嚙螯合劑。
螯合劑包括無機和有機兩類。大多數是有機類化合物。常用的螯合劑有多磷酸鹽、氨基羧酸、1,3-二酮,羥基羧酸、多胺等。
螯合劑的結構式多樣的,有直鏈的也有帶支鏈的結構。也有環狀螯合劑如卟啉類衍生物和冠醚類衍生物等。
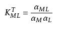
螯合物的穩定性是以螯合物的穩定常數來衡量的,穩定常數越大,螯合物的穩定性就越高。假設螯合劑與金屬離子生成的螯合物為ML(最簡單的情況)。嚴格的說螯合物的穩定常數應該表示為:
式中 α-型體的活度;

KML:在一定溫度下為一個常數,成為活度常數或者熱力學常數。
在化學工業和工業生產過程中,加入螯合劑使金屬離子生成性質完全不同的螯合物,是降低和控制金屬離子濃度的主要方法。
螯合物在礦物浮選過程、濕法冶金、金屬元素的提取與分離、物質的催化合成、水的軟化、電鍍工藝、醫藥工業、染色過程等中都有廣泛的應用。
螯合物廣泛應用于過氧化氫及次氯酸類作漂白劑的化學、機械和脫墨紙漿的漂白。部分螯合劑在醫學上可用于鉛及汞等中毒的治療等。具體用途如下:
1、能有效抑制金屬離子對過氧化氫及次氯酸類漂白劑引起的催化分解,提高漂白效率,節約漂液,降低漂白成本。
2、對Fe離子有極強的捕捉能力和分散效果,避免Fe離子與紙漿中的酚基團反應形成深顏色的復合物,保護纖維,提高紙漿白度,減少紙漿返黃。
3、能有效阻止鈣、鎂等金屬離子在紙漿漂白過程中發生化學反應形成沉淀物,從而防止系統設備、管道結垢,并能逐步去除漂洗系統原有的結垢。
4、具有一定的分散能力,可提高硅酸鈉的分散性。
5、保護紙漿纖維,防止NaOH剝皮反應對纖維的破壞。
6、與傳統的DTPA相比,具有良好性價比。
7、用于金屬元素的分離和提純、織物的染色以及制造有機顏料等。
科魯斯螯針系列雙筒夜視儀4x50 晝夜兩用
- 產品規格:
- 4*50
- 產品數量:
- 99
- 經營模式:
- 貿易型, 政府或其他機構
- 執照認證:
- 未認證
- 最近更新:
- 2022/2/28 10:56:06
- 經營品牌:
儀器內部菜單:中文 儀器結構:日夜兩用,雙筒大口徑全鍍膜,全波段鏡頭透光率≥98% 主動紅外:有 強光保護:自動強光保護 鏡頭材料:鋁合金+7片玻璃鏡片,表面氧化啞黑¥16800元/臺所在地:福建福州
福州比立歐儀器公司
供應氨基酸螯合鈣生產廠家,價格多少
- 產品規格:
- 25公斤/袋
- 產品數量:
- 70000
- 經營模式:
- 生產型
- 執照認證:
- 未認證
- 最近更新:
- 2025/2/24 14:33:05
- 經營品牌:
- 鴻祥
氨基酸螯合鈣生產廠家,氨基酸螯合鈣價格,氨基酸螯合鈣用途,沖施肥氨基酸螯合鈣,氨基酸螯合鈣詳細說明,氨基酸螯合鈣用法用量,氨基酸螯合鈣最新報價,氨基酸螯合鈣作用,供應優質氨基酸螯合鈣,氨¥10元/袋裝所在地:河南鄭州
鄭州鴻祥化工有限公司
吸附重金屬銅鎳鉛鋅鈷錳螯合樹脂
- 產品規格:
- ISO
- 產品數量:
- 10000000升
- 經營模式:
- 貿易型
- 執照認證:
- 未認證
- 最近更新:
- 2021/2/2 16:12:06
- 經營品牌:
- Tulsion(杜笙)
杜笙®螯合離子交換樹脂tulsion®ch-90 去除+2價金屬離子的選擇性螯合離子交換樹脂selectiveionexchangeresinforremovalofbivalentme-tals.tulsion®ch-90是一款具有iminodi¥元/25升/袋所在地:北京北京
科海思(北京)科技有限公司



湘公網安備 43052302000106號